有趣生活

当前位置:首页>科技>氦的丰度与大爆炸理论的预言

氦的丰度与大爆炸理论的预言

发布时间:2025-10-21阅读(0)

氦是宇宙中第二轻的元素,但它在宇宙中的丰度却极其惊人,约占总元素质量的四分之一,而大爆炸理论则正确地预测了氦的丰度。

大爆炸理论认为,宇宙是从一个极其炎热和密集的点中产生的。然而,这个点包含了宇宙的全部能量和物质,它们以基本粒子的形态存在,构成了一个被称为“粒子汤”的状态。这些基本粒子包括夸克、胶子、光子和中微子。在这个初期阶段,光子和其他粒子之间的碰撞非常频繁,以至于光子几乎无法自由移动。中微子,尽管通常很难与其他粒子相互作用,此时也被频繁的碰撞所束缚。

随着宇宙的不断膨胀,温度逐渐下降。在这个过程中,夸克和胶子逐渐结合,形成了质子和中子。这些新形成的粒子是构成原子核的基本单位。宇宙的膨胀并没有停止,随着温度的进一步降低至10¹⁰K时,中微子开始获得更长的自由行程,它们不再像之前那样频繁地与其他粒子碰撞。这个过程被称为中微子的退耦,意味着中微子开始从粒子汤中分离出来,成为宇宙中自由移动的粒子。(www.ws46.coM)

在温度降至大约10⁹K时,宇宙进入了一个新的阶段——原初核合成。在这个阶段,宇宙的温度和压力适宜于原子核的形成。质子和中子开始结合,形成了氢和氦等轻元素。由于氦-4非常稳定,在当时的条件下就逐渐累积起来,直到中子被耗尽为止。

那么,我们如何以此来估计氦的丰度呢?事实上,这里还有一个关键点,就是原初核合成之前质子和中子数。我们知道,质子和中子可以通过弱力相互转化:p e↔n ν,其中p为质子,n为中子,e为电子,ν为中微子。在中微子退耦后,中微子就很少再参与作用了,因此我们可以认为相互转化的过程就消失了。

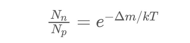
但是,这个相互转化的过程并不是等概率的,由于中子的质量比质子稍大,因此中子变为质子的过程比逆过程更容易发生。因此我们可以知道,最终中子的数量比质子的数量肯定要来得少。事实上,我们可以通过玻尔兹曼关系得到中子数与质子数的比例:

其中Δm就是中子和质子的质量差,k是玻尔兹曼常数,而T是中微子退耦时的宇宙温度。如果我们把这些数据代入上面的公式,我们可以得到大约七分之一的结果。事实上,如果我们要得到更精确的中子数和质子数的比例,我们还要考虑自由中子的衰变。因为我们知道中子的寿命约为800秒,而原初核合成时大约是宇宙大爆炸后100秒,随意我们不能忽略它的影响。考虑到中子的衰变,我们得到的比例会稍小于七分之一。

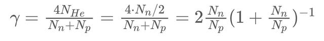
原初核合成时,两个质子配两个中子形成氦,直到中子被用完为止。因此,我们可以得到,氦核的数量是此前中子数量的一半。考虑到氦核有4个核子,并且设每个核子的质量为单位1(此时忽略质子和中子的质量微小差异),我们就可以得到氦的丰度γ公式为:

当我们把七分之一代入上式后,我们会得到氦的丰度γ为四分之一。

近些年来,科学家使用各种技术精心地测量氦的丰度。一种方法是分析来自低金属丰度星系中恒星形成区的远距离光谱中氢和氦的谱线。这些星系原始而未受恒星世代的影响,提供了一个了解宇宙原始成分的窗口。另一种方法是利用对宇宙微波背景辐射的观测,这是大爆炸本身的微弱回声,它包含了关于早期宇宙成分的线索。

观测到的氦丰度与理论预测值非常一致,有力地验证了标准模型的正确性。如果氦的丰度与预测值存在明显偏差,则需要对大爆炸理论进行修正。此外,通过精确测量氦的丰度,我们可以推断出宇宙早期的一些关键参数,例如宇宙的膨胀率、物质密度等,从而更好地理解宇宙的早期演化过程。

欢迎分享转载→http://www.youqulife.com/read-583971.html

相关文章

    Copyright © 2024 有趣生活 All Rights Reserve吉ICP备19000289号-5 TXT地图HTML地图XML地图