有趣生活

当前位置:首页>职场>复利现值和年金现值的区别

复利现值和年金现值的区别

发布时间:2025-10-22阅读(1)

复利现值和年金现值,均考虑了货币时间价值,根据一定折现率进行折现求站在0时点的价值,那么两者的区别主要表现在哪里呢?

复利现值是指未来一定时间的特定资金按照复利计算的现在的价值,也可理解为是现在的多少资金经过一定时间的复利之后得到特定的资金数额,所以复利现值和复利终值是对称的两个数字。比如10年后的100元相当于现在的多少钱,按照利率(折现率)复利计算出来的数值就是10年后100元的复利现值。

而年金现值是指一定的时期内按相同时间间隔在每期期末收入或支付相等的金额,如此安排经过一定的时期后折算到第一期期初,即按照复利折现到现在时点的现值之和。比如每月月末存入银行1000元,存1年,将12个月存的钱数折现到现在时点,总共值多少钱。

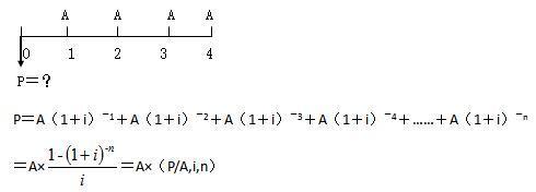
可以看出,复利现值是未来一定期间一个数额的折现,而年金现值是一定期间分为N期,n个数字的折现。通过以下图示更便于理解:(www.Ws46.com)

复利现值

复利现值只需要对特定的一个数字折现N期;而年金现值需要对对n个数字进行折现。

复利现值P=F÷(1 i)^n=F×(P/F,i,n)其中(P/F,i,n)=1÷(P/F,i,n)为复利现值系数,在已知折现率i和期数n的情况下,通过查复利现值系数表就可以确定,如果i不是整数,比如折现率为6.5%,期数n 为5,则可以通过查表i=6%,n=5;i=7%,n=5,找到两组系数,然后利用插值法进行计算。

年金现值

年金现值P=A×{[1-(1 i)^n]÷i}=A×(P/A,i,n)其中(P/A,i,n)为年金现值系数,具体系数可以根据折现率i和期数n通过查年金现值系数表确定,i不是整数的时候,同复利现值系数的计算,可以通过插值法确定。

欢迎分享转载→http://www.youqulife.com/read-608444.html

相关文章

    Copyright © 2024 有趣生活 All Rights Reserve吉ICP备19000289号-5 TXT地图HTML地图XML地图