有趣生活

当前位置:首页>科技> 从玻尔原子模型到氢光谱公式的探索之旅

从玻尔原子模型到氢光谱公式的探索之旅

发布时间:2025-10-22阅读( 17)

1895年,卢瑟福来到英国卡文迪许实验室,跟随汤姆逊学习。在汤姆逊的指导下,卢瑟福在放射性吸收实验中发现了α粒子。后来,卢瑟福利用α粒子进行散射实验,意外发现实验结果与原子的枣糕模型不一致。根据这些实验数据,卢瑟福提出了他的原子模型:带正电的原子核向太阳一样居于其中,电子像行星一样围绕其运转。

卢瑟福的原子模型成功解释了α粒子的大角度偏转,但是它也存在两个主要的问题。首先,加速运动的电子会辐射电磁波,导致电子能量减少轨道变低,并最终落到原子核上使原子“消失”。其次,电子连续运动发射出的电磁波能量是连续的,所以原子光谱应该是连续的,但实验结果显示原子光谱是线状的。

玻尔在博士毕业之后也是来到了卡文迪许实验室,但是汤姆逊当时忙于行政,玻尔并没有太多机会与之接触。有一次,玻尔听完卢瑟福的报告之后,对原子模型很感兴趣,就去找卢瑟福谈话,问能不能跟着他工作。卢瑟福虽然主要是做实验的,但是他还是接受了玻尔,并且让他解决现在原子模型所面临的理论困难。

玻尔为了解决这个问题,提出了几个重要的假设。首先,既然电子加速运动会辐射能量导致轨道连续变化,那么玻尔就假设电子的状态不是连续的,只能处于几个分立的、确定的轨道上。并且,轨道从内到外给它们编号n=1,2,3……。其次,电子从一个轨道到另一个轨道,只能通过跃迁的方式进行,并且跃迁产生的电磁波吸收或辐射满足以下式子:E(n)-E(n-1)=hν 。E是相应轨道的定态能量,ν是电磁波的频率。

如果只是上述两条假设,那么还不足以把分立的能级确定下来。因此,玻尔提出了一条非常重要的想法,现在称为对应原理。他的想法是这样的,自然界是统一的,不会分成微观世界和宏观世界两个对立面,它们之间一定有个平缓过渡。因此,当轨道量子数n非常大的时候,这些态给出的能量应该和经典物理给出的数值相同。

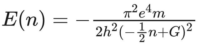
根据这些假设,玻尔很快就推导出了每个定态的能量表达式:

其中G为积分常数,只有在能量满足这些关系的电子轨道才能稳定存在。从这个公式我们也可以看出,能量E(n)确实存在一个最小值。在这个最小值处,你不能让电子再往下跃迁,所以原子是稳定存在的。

但是,卢瑟福在听完玻尔的报告后,随即提出了质疑。因为玻尔一开始就假设电子轨道是分立的,这个假设就已经隐含了一个最小值的结果,然后再来证明存在一个最小值岂不是循环论证了。但是,卢瑟福还是对玻尔取得的进步表示肯定。因此,卢瑟福建议玻尔再进行研究,看能不能把一些假设取消掉或者使之更合理化。

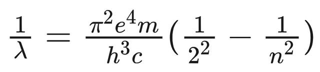
但玻尔并没有选择继续跟着卢瑟福工作,而是先回国解决婚姻大事,也正是这一选择使它走向了正确的道路。玻尔虽然推导了理论结果,但毕竟要有实验来进行验证,他不知道要如何应用于实验。偶然有一次,他和好友汉森交谈彼此的工作时,汉森给他介绍了氢原子光谱的巴尔曼公式:

看到这个n²,玻尔一下子就反应了过来。他令常数G=0,然后用E(n)-E(2)=hc/λ,就得到了:

然后,他让前面这些常数计算出来的值与实验得出的R进行比较,发现它们是对得上的。我们知道,这个巴尔曼公式从1885年硬凑出来之后,没有人知道它是如何推导的,没有人知道为什么是这样的,而玻尔现在以自己的方式做到了。在这之后,玻尔马上写信给卢瑟福告诉他这件事,玻尔的论文也就正式发表。

TAGS标签:   玻尔   原子   模型   光谱   公式   从玻尔原子模型到氢光

相关文章

Copyright © 2024 有趣生活 All Rights Reserve吉ICP备19000289号-5 TXT地图HTML地图XML地图