有趣生活

当前位置:首页>科技> 宇宙监督假设与热力学第三定律

宇宙监督假设与热力学第三定律

发布时间:2025-10-26阅读( 19)

在昨天的文章中(),我们已经知道了克尔-纽曼黑洞的内外视界半径为:

从这个式子我们可以发现,当转动速度足够大或者带电量足够多时,黑洞的内视界和外视界会相等 。

此时,克尔-纽曼黑洞变成一个极端黑洞:内外视界重合,单项膜区变成了一个无限薄的界限。如果再给黑洞增加一点角动量或者电量,那么黑洞的视界就会消失,奇点或者奇环就会裸露出来。

但是,裸奇异一旦出现,就会对时空的因果性造成破坏。为了解决这一问题,物理学家彭罗斯提出了宇宙监督假设。这个假设认为存在一个宇宙监督者,禁止所有奇点裸露在黑洞视界之外,这样就不会对外部时空造成影响。

那么,这个假设是正确的吗?如果该假设正确,又是哪一条物理定律充当宇宙监督者的角色呢?让我慢慢道来。

黑洞的表面积与表面引力

我们知道史瓦西黑洞只有一个视界,并且它的无限红移面和视界是重合的,所以我们很容易定义史瓦西黑洞的表面积为视界的表面积。但是,在克尔-纽曼黑洞中,有内外两个视界和两个无限红移面,该如何定义它的表面积?事实上,外视界是黑洞的真正边界,虽然外无限红移面与之不重合,但它只不过是黑洞的附属物。所以,我们把外视界的表面积定义为黑洞的表面积。

(www.ws46.com)

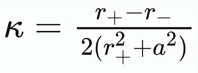
接下来介绍另一个重要的参量,黑洞的表面引力κ,它是一个物体静止在外视界时所感受到的引力场强。但事实上,物体无法静止在视界表面,因为它要求物体以光速运动。所以,我们让它静止在视界表面之上一丢丢。此时物体要跟随黑洞以同样的角速度转动,才能以视界相对静止。在这种条件下,我们可以得到表面引力:

黑洞的热性质

1971年,霍金在强能量的条件下,证明了黑洞的面积定理:在经典广义相对论中,一个孤立黑洞的表面积只能增加或保持不变,不能减少。按照这个定理,两个黑洞合并后,新黑洞的表面积要大于两个旧黑洞的表面积之和。

面积定理使贝肯斯坦意识到黑洞表面积具有类似于热力学第二定律的性质,即熵只能增加或保持不变、不能减少。经过进一步的思考,贝肯斯坦得出了黑洞各个参量的关系式。与此同时,斯马尔也独立得出了同样的公式。因此,该公式被称为贝肯斯坦-斯马尔公式,它的表达式为:

而这个公式与转动物体的热力学第一定律表达式相似:

如果这个对比是正确的话,那么表面积A应该与熵S成正比,表面引力κ也应该与温度成正比。后来,又进一步给出 ,这样一来表面引力κ代表温度就成为了必然。

热力学第三定律

如果极端黑洞真的存在的话,即黑洞内外视界重合,那么根据前面提到的表面引力的公式,我们就会得到κ=0。如果我们前面的类比是正确的,表面引力κ确实代表温度的话,那么这意味着温度已经降到了绝对零度。

而热力学第三定律告诉我们,不能通过有限次操作把温度降低到绝对零度。因此,我们也无法通过有限次操作,把黑洞的表面引力降到零,这被称为黑洞力学的第三定律。也就是说,我们不能把克尔-纽曼黑洞变成极端黑洞,奇点或奇环并不会裸露出来。

所以,如果上面的讨论是正确的话,宇宙监督假设可能就是热力学第三定律。

TAGS标签:   宇宙   监督   假设   热力学   第三   宇宙监督假设与热力学

相关文章

Copyright © 2024 有趣生活 All Rights Reserve吉ICP备19000289号-5 TXT地图HTML地图XML地图