有趣生活

当前位置:首页>科技> 太阳能有多亮?探索爱丁顿极限背后的恒星奥秘

太阳能有多亮?探索爱丁顿极限背后的恒星奥秘

发布时间:2025-10-26阅读( 21)

恒星的发光是由核聚变产生的,它们把轻元素(比如氢)变成重元素(比如氦),同时释放出大量的能量。这些能量以光和热的形式从恒星内部向外辐射,形成了我们看到的恒星光芒。

但是,恒星并不是一直平静地进行核聚变。它们还要面对一个很大的问题,那就是引力。恒星是由巨大的气体云团压缩而成的,所以它们有很强的引力。这个引力会让恒星内部的物质不断地向中心塌缩,使得恒星变得更小更密。如果没有什么东西来抵抗这个引力,那么恒星就会一直塌缩下去,直到变成一个黑洞。

那么,有什么东西可以抵抗引力呢?答案就是辐射压力。辐射压力是由光子对物质的作用力。你可以想象,当光子从恒星内部向外射出时,它们会撞到恒星表面的物质上,给它们一个向外的推力。这个推力就像一个气垫,可以阻止物质向内塌缩。当辐射压力和引力达到平衡时,恒星就可以保持稳定。

但是,并不是所有的恒星都能达到这种平衡。有些恒星太大太亮了,它们产生的辐射压力太强了,以至于超过了引力。这样一来,恒星表面的物质就会被辐射压力吹走,形成一股强烈的恒星风。这种情况下,恒星就不能保持稳定了,它会不断地失去质量和能量。

那么,有没有一个极限值,可以告诉我们一个恒星能有多大多亮呢?答案就是爱丁顿极限。爱丁顿极限是一个理论上计算出来的值,它表示了在球对称前提下天体的辐射压力不超过引力时的光度上限值。也就是说,如果一个天体的光度超过了爱丁顿极限,那么它就会被自己的辐射压力撕裂。

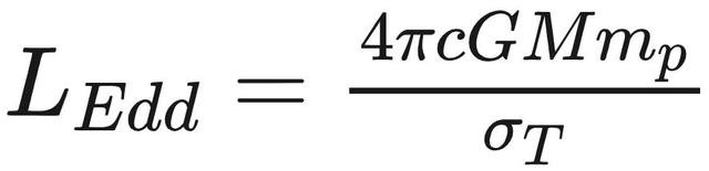
爱丁顿极限具体是多少呢?我们可以用一个公式来表示:

其中,G是万有引力常数,M是天体的质量,m_p 是质子的质量,c是光速,σ_T是电子的汤姆孙散射截面 。这些都是一些物理常数,你不用太在意它们的具体数值。你只要知道,这个公式告诉我们,爱丁顿极限和天体的质量成正比。也就是说,天体质量越大,它能发出的最大光度就越大。

那么,我们可以用这个公式来计算一下太阳的爱丁顿极限吗?答案是可以的。太阳的质量大约是2×10^30 千克,把它代入公式,我们可以得到:

它表示了太阳能发出的最大光度,也就是每秒钟能释放出的最大能量为1.3×10^31焦耳。为了方便比较,我们可以用太阳目前的光度来做一个参照。太阳目前的光度大约是3.8×10^26瓦特,这也就意味着,太阳现在每秒发出的能量只是它能发出的最大能量的千分之一左右。这说明太阳还很稳定,它不会被自己的辐射压力吹散。

那么,有没有什么天体会超过爱丁顿极限呢?答案是有的。如果一个恒星在核反应过程中增加了自己的亮度,并超过了自己的爱丁顿极限,那么它就会失去平衡,抛出大量的物质,形成恒星风。这样就会减小恒星的质量和亮度,使得它重新回到平衡状态,这种现象在一些变星中可以观察到。

在实际观测中,我们还可以看到一些超大质量恒星稳定存在。这些恒星的质量可以达到几百倍甚至上千倍太阳质量 ,这样一来,它们产生的核聚变能量就非常巨大,以至于超过了爱丁顿极限。这样的恒星是如何存在的,目前还没有一个完整的解释,可能有一些未知的因素能突破爱丁顿极限。

科学家猜测可能的原因有:恒星内部存在不同层次的对流区域,这些区域可以传递能量和物质,降低辐射压力;恒星表面存在强烈的磁场,这些磁场可以抵抗辐射压力;恒星周围存在伴星,它可以提供额外的引力来稳定恒星。总之,超过爱丁顿极限的恒星是天文学中一个有趣而复杂的问题,需要更多的观测和理论来探索。

TAGS标签:   太阳能   有多   索爱   丁顿   极限   太阳能有多亮探索爱

Copyright © 2024 有趣生活 All Rights Reserve吉ICP备19000289号-5 TXT地图HTML地图XML地图