有趣生活

当前位置:首页>科技> 计算飞机的空速,用伯努利方程真的对吗?

计算飞机的空速,用伯努利方程真的对吗?

发布时间:2025-10-27阅读( 18)

飞机的空速就是飞机相对空气的速度,它是飞机升力的一个重要参数。一般来说,飞机的空速并不等于地速。举一个例子,当台风来袭时,停在机场的飞机可能会因为强风而飞起来,此时飞机的空速非常大,但飞机的地速为零。当空气的速度为零时,飞机的空速才会等于地速。

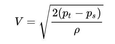
求解上述公式,我们就可以得到飞机的速度V的公式:

(www.ws46.coM)

但这真的是正确的吗?伯努利方程描述的是流体沿着一条稳定、非黏性、不可压缩的流线移动的行为,它在水的应用方面是非常广泛的,因为在很多情况下,水被认为是不可压缩的。但是,在空气中利用伯努利方程,我们就要非常小心了,因为当速度超过0.3马赫的时候,我们就认为空气是可压缩的,此时伯努利方程已经不再适用。

式中M为马赫数,在空气中γ取1.4。我们已经测得总压和静压,就可以利用这个公式得到飞机的马赫数,然后就可以根据温度、压强等参数得到当地声速,最后得出飞机的空速。

TAGS标签:   计算   飞机   空速   伯努   方程   计算飞机的空速,用伯

相关文章

Copyright © 2024 有趣生活 All Rights Reserve吉ICP备19000289号-5 TXT地图HTML地图XML地图