有趣生活

当前位置:首页>科技>旋转黑洞的外部时空

旋转黑洞的外部时空

发布时间:2025-10-27阅读(0)

1915年,在爱因斯坦提出完整广义相对论的两个月后,一位名叫卡尔·史瓦西的年轻德国物理学家求出了它的第一个解。史瓦西解描述了围绕球对称质量的时空弯曲,如果该质量被充分压缩,该解将预测一个球面的事件视界,在其内部时空以光速向内流动。总而言之,它预测了空间中不可避免的结构,我们现在称之为黑洞。

从那以后,我们对宇宙的观测告诉我们,黑洞是真实存在的。我们已经看到了它们合并产生的引力波,我们目睹了遥远类星体发出的光,我们甚至用事件视界望远镜拍摄了黑洞的图像。但史瓦西并没有很好地描述这些真实的黑洞,因为史瓦西黑洞没有自转,而真实的天体物理黑洞都在旋转。

根据黑洞无毛定理,可以用三个参数来描述黑洞:质量、电荷和自旋。每个黑洞都必须具有质量,将大质量压缩到小区域是它成为黑洞的首要原因。我们所知道的黑洞并没有电荷,但基本上所有真正的黑洞都会旋转。黑洞的旋转来自于形成它的所有物质的角动量,这包括坍缩的核心的角动量和被吸入黑洞物体的角动量。

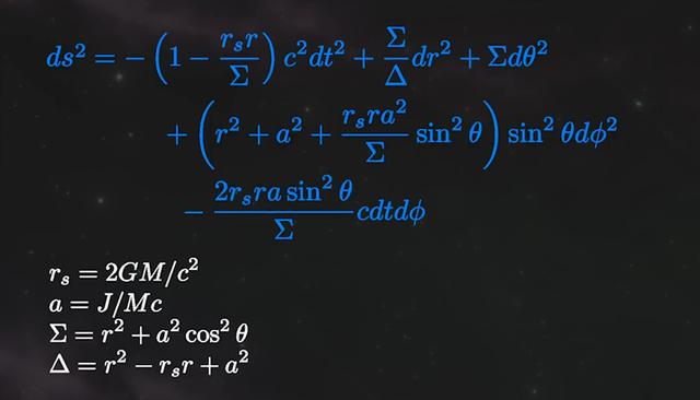
尽管自旋在黑洞中很重要,但在爱因斯坦场方程之后的半个世纪才得出了旋转解。1963,罗伊·克尔提出了克尔解,它描述了一个有质量有旋转但没有电荷的黑洞,它可以用来描述任何靠近或在克尔黑洞内部移动物体的轨迹。今天,我们主要来讲讲旋转黑洞对外部时空的影响。

参考系拖拽

旋转黑洞周围的空间流动被称为参考系拖拽,我们可以在任何旋转质量周围看到它。在参考系拖拽中,任何“自由落体”轨迹被拖动到物体旋转的方向上。美国宇航局的引力探测器B测量了地球的参考系拖拽,这与爱因斯坦理论预测完全一致。地球的参考系拖拽非常微弱,但在克尔黑洞的情况下,时空的这种圆形拖动效果非常显著。

从经典力学的角度来看,恒星拥有任何半径的稳定轨道。但是对于不旋转的黑洞来说,最内层的稳定圆轨道的半径是3倍史瓦西半径,任何更接近的物体都会最终掉落到黑洞中。但是对于一个旋转的黑洞,参考系拖拽会给一点额外的帮助,所以最内层稳定圆轨道可以更靠近黑洞视界。从理论上来说,一个旋转足够快的黑洞,它的最内层稳定轨道可以一直存在到事件视界。但是,这些过程的前提是物体与黑洞旋转方向相同,如果相反的话,那么9个史瓦西半径内都没有稳定轨道。

黑洞周围通常会形成一个吸积盘,吸积盘的内层边缘就是该黑洞的最内层稳定圆轨道。我们目前还不能直接测量吸积盘内边缘的直径,但我们能通过引力透镜等间接方法进行推算,从而得到黑洞的自旋。

能层

就在视界上方,我们发现了一个特别奇怪的区域,叫作层。在那里,参考系拖拽以比光速更快的速度携带着黑洞周围的空间,这意味着一切都必须朝着黑洞旋转的方向移动。这里的情况实际上类似于视界以下的状态,即空间以比光速更快的速度向下移动。在数学上,超光速的空间流动以一种特别奇怪的方式表示——空间和时间交换位置。因此,在能层中,角坐标变得像时间一样,**绕黑洞运行和在时间上倒退一样困难。

同样的事情还允许我们从层中提取能量,物理学家罗杰·彭罗斯在1970年代早期发现了这一点。它是这样工作的:一个物体在经过精心调整的轨迹上落入克尔黑洞的层中,如果该物体在正确位置被分成两半,一半穿过视界而另一半弹出能层并逃逸,它逃逸的动能将比进来时多。这种能量是从能层中的旋转能量提取的,因此会减慢黑洞的旋转。之所以它会有效,是因为能层的克尔解中奇怪的时空翻转允许物体的一半获得负能量,该负能量被转移到黑洞,而另一半则获得正能量作为动能。

布兰德福–日纳杰过程

我们最后一个要谈论的过程在现实宇宙中很重要,它就是布兰德福–日纳杰过程。在这种情况下,黑洞周围的物质流在吸积盘中会产生磁场,层中的空间流动将磁场旋转成一个巨大的粒子加速器。带电粒子沿着这些磁场加速并可以辐射出强光,最终该光的能量是从黑洞的旋转能量中提取的。据推测,从吸积的黑洞中观察到的一些喷流可能是由这个过程驱动的。

欢迎分享转载→http://www.youqulife.com/read-689134.html

相关文章

    Copyright © 2024 有趣生活 All Rights Reserve吉ICP备19000289号-5 TXT地图HTML地图XML地图