有趣生活

当前位置:首页>科技>用两种方法推导爱因斯坦的质能方程

用两种方法推导爱因斯坦的质能方程

发布时间:2025-10-27阅读(1)

作为CEO的张朝阳手推质能方程,把物理学推上了热搜。今天,我们也用两种方法来推导质能方程。

第一种方法

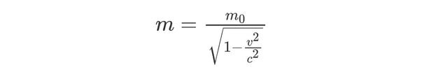
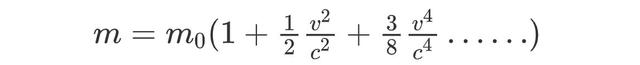
首先,质量的相对论公式为:

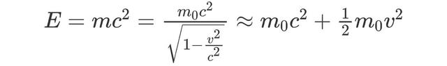
利用泰勒展开公式把右边项展开,得到:

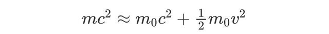
事实上,当速度v较小时,右边可以只保留两项,我们可以得到:

式看起来是不是很熟悉,右边第二项就是牛顿中的动能方程。为了解释上边式子的物理意义,爱因斯坦首先提出假设,物体的总能量等于质量与光速平方的乘积,即:

上面的式子就是著名的爱因斯坦质能关系的公式。其中mc是物体的静能,它是总能量的一部分,具有静止质能的物体都具有静能。

第二种方法

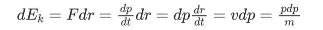
我们还可以用第二种方法来理解爱因斯坦的质能方程。在狭义相对论中,动能定理仍然成立,但动能的形式有所不同。在力F的作用之下,它做的功等于动能的变化,所以我们有以下微分关系:

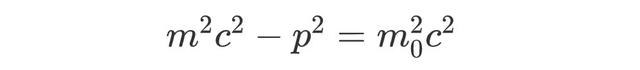
把质量的相对论公式和动量p=mv相结合,我们可以得到:

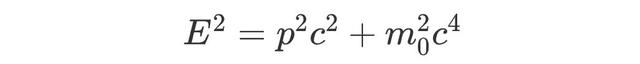
事实上,这就是能量与动量关系式的变体:

对上面的公式进行微分,得到:

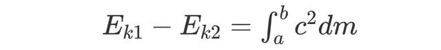
代入最开始的公式,并进行积分可以得到:

如果我们取初态u=0,则最初的动能也为零,质量为m,最后我们可以得到:

把上式与第一种方法泰勒展开得到的式子相比,我们可以知道当v<

欢迎分享转载→http://www.youqulife.com/read-689800.html

相关文章

    Copyright © 2024 有趣生活 All Rights Reserve吉ICP备19000289号-5 TXT地图HTML地图XML地图