有趣生活

当前位置:首页>科技>彩虹的形成及彩虹角的计算

彩虹的形成及彩虹角的计算

发布时间:2025-10-27阅读(2)

普通白光由整个可见光谱组成,通过使用玻璃棱镜折射光,牛顿能够将光分成其组成成分的颜色。我们现在知道光的颜色是由光的波长或频率决定的:波长越长,频率越低,光越红;波长越短,频率越高,光越蓝。不同波长或频率的光被玻璃冷静折射的角度略有不同,这就是导致不同颜色扩散并形成连续光谱的原因。牛顿意识到许多不同的材料也可以折射光(包括水),这就是他理解雨滴形成彩虹的关键。

人们早就知道,为了让某人观察到彩虹需要三个条件。首先太阳需要在你身后,其次你面前的天空必须有雨滴,第三阳光必须能够在没有任何障碍物(例如云)的情况下直接到达雨滴。

光线在液滴的路径

如果我们使用的是一束蓝光而不是红光,这会有什么不同?在这种情况下,折射率会轻微改变,现在不是1.33而是1.34。虽然这似乎没有太大变化,但当我们将其代入斯涅尔定律时,它会产生31.85度的折射角,这导致蓝光在液滴内部的路径与红光不同,甚至与每一种颜色都不同。每种不同颜色光的折射角差异导致光在每个液滴中分散,最终产生彩虹的彩色带。

彩虹角的计算

我们可以再利用斯涅尔定律,让空气的折射率为1,水对红光的折射率为4/3,于是可以得到:

对于这个结果,最好的方法是用图把它展示出来。我们以D(α)为纵坐标,以α为横坐标绘制曲线,如下图所示。

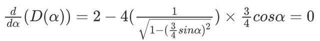
我们可以从图中看到有一个最低点,先来求这个最低点所对应的值,再来分析它的意义。在最低点处,它的导数值为零:

www.ws46.com

这种具有138度偏转角的光线积累意味着此角度的红光更亮更明显,与之对应的观测角42度被称为红光的彩虹角,也就是我们看到红光的最佳角度。此外,通过这种方法,我们也可以算得蓝光的彩虹角大约为40度。在这两个角度之间,我们就可以看到完整的彩虹。

有时候我们还可以看到双彩虹,在主彩虹旁边还有一亮度较不明显的次级彩虹。我们上面计算的是光在液滴中反射一次,如果光在液滴内反射两次,那么形成的就是次级彩虹,由于篇幅有限,这里就不再进行计算。

欢迎分享转载→http://www.youqulife.com/read-691096.html

相关文章

    Copyright © 2024 有趣生活 All Rights Reserve吉ICP备19000289号-5 TXT地图HTML地图XML地图