有趣生活

当前位置:首页>科技>量子力学中的狄拉克符号

量子力学中的狄拉克符号

发布时间:2025-10-27阅读(0)

波函数在量子力学中是用来描述一切的东西:有电子的波函数、原子的波函数和薛定谔猫的波函数等等。在学习过程中,我们总是会看到波函数中有很多奇怪的符号,今天就来讲讲狄拉克符号。

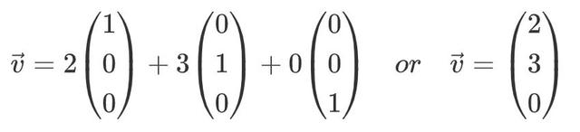
在三维空间中,我们可以将向量视为从坐标原点指向任意点的箭头。我们可以在该空间中选择一个特别方便的基础向量,通常它们是三个正交向量,并且长度等于1。这些基向量可以写成列向量,每列都有一个等于1的元,其余元都等于0。然后,我们可以将任意向量写成这些基向量的和,或者我们也可以将基向量前面的系数单独拿出来成一个列向量。 (www.ws46.Com)

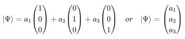
量子力学中的波函数就是这样的向量,只不过它不是我们空间中的向量,而是称为希尔伯特空间的抽象数学事物中的向量。波函数和描述空间方向的向量之间最重要的区别之一是,量子力学中的系数不是实数而是复数,因此它们通常具有非零虚部。这些复数可以“共轭”,通常用星号上标来表示,例如z=x iy和z*=x-iy。此外,在量子力学中,我们不写带箭头的向量。相反,我们用一些有趣的括号来表示,如下所示:

这种新奇的标记法是狄拉克发明出来的,因此它被称为狄拉克符号,它有左右两部分:右矢和左矢。使用狄拉克符号是跟踪向量是列向量还是行向量的便捷方法。列向量我们用右矢表示,如果有行向量,则用左矢来表示。在量子力学中,如果将列向量转换为行向量,还要取系数的共轭,如下所示:

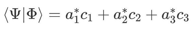
此外,我们还可以把这两种方法结合来表示标量:两个向量之间的内积是系数乘积的总和,如下所示:

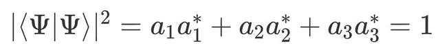
在量子力学中,所有向量都描述了概率。通常我们会在空间中选择基础向量,以便基向量对应于可能的测量结果。因此,特定测量结果的概率是与结果对应的基向量与波函数的内积的绝对平方。

由于基向量是除了一个等于1之外只有0的那些,波函数与基向量的内积就是对应于一个非零项的系数,然后概率是该系数的绝对平方。这种从波函数中获得概率的方法被称为“玻恩定则”,以提出该规则者马克思·玻恩命名。我们知道所有测量结果的概率等于1,这意味着所有基向量与波函数的内积平方和必须为1,如下所示。

波函数与基向量的内积有时也称为在该基向量上的“投影”。之所以它被称为投影,是因为它是在对应于基向量的方向上投影完整波函数时得到的长度。量子力学测量的问题是,一旦你进行测量,将波函数投影到一个基向量上,那么波函数的长度将不再等于1,因为得到这个特定值的概率测量结果可能小于1。

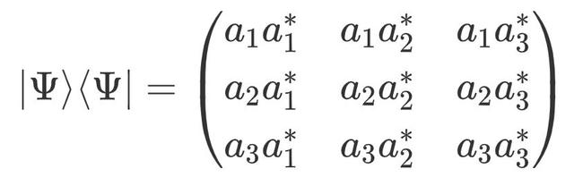
我们还可以有另一种操作:波函数自身的外积。此时,我们最终得到的不是一个数字,而是一个矩阵。在量子力学中,这个东西被称为“密度矩阵”,我们需要它来理解退相干。

欢迎分享转载→http://www.youqulife.com/read-691528.html

相关文章

    Copyright © 2024 有趣生活 All Rights Reserve吉ICP备19000289号-5 TXT地图HTML地图XML地图