有趣生活

当前位置:首页>科技>爱因斯坦错了吗?赤道上的时钟并没有比两极慢

爱因斯坦错了吗?赤道上的时钟并没有比两极慢

发布时间:2025-10-27阅读(1)

因为还有一个因素需要考虑,这个因素就是地球的引力。地球不是一个完美的球体,由于它的旋转,它的两极略微扁平而赤道隆起。这意味着赤道表面比两极离地心更远,所以赤道表面物体所受的引力就比两极小。根据广义相对论,一个物体所经历的引力场越强,它的时钟走得就越慢。所以,北极的钟就比赤道表面的钟走得更慢。

那么这两种效应谁会胜出呢?事实证明,它们刚好完全抵消,无论纬度如何,海平面上的时钟都以相同的速度流逝,这一点已经通过原子钟的精确测量得到了验证。

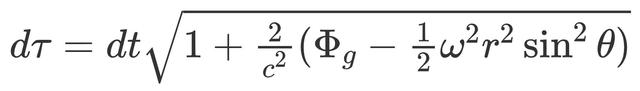
其中Φ_g是地球的引力势。对于静止在地球表面的时钟,我们有dr=dθ=0和dΦ=ωdt,代入上式并进行整理可得到:

仔细观察一下,根号下括号内的式子正是有效势Φ_eq=Φ_g-1/2ω²r²sin²θ,它就是地球的引力势减去离心力产生的势。有效势在地球表面应该是一个常数,否则它就会产生一个梯度力,而我们并没有体验到这个力。也正是因为它是个常数,所以固有时间间隔dτ在地球海平面都是相同的。如果我们想验证一个两极和赤道的有效势是否相等,下面的计算可以参考一下。

欢迎分享转载→http://www.youqulife.com/read-692536.html

相关文章

    Copyright © 2024 有趣生活 All Rights Reserve吉ICP备19000289号-5 TXT地图HTML地图XML地图