有趣生活

当前位置:首页>科技>弦谱的简单的介绍

弦谱的简单的介绍

发布时间:2025-10-27阅读(2)

弦谱的简单介绍

弦论是一种试图解释宇宙基本粒子和相互作用的统一理论。在弦论中,基本粒子不再被视为无结构的点,而是由一维的弦组成。为了理解这个理论,我们需要研究弦的量子化和它的谱。本文将从弦谱的基本概念开始,然后分别介绍旧协变量子化、BRST量子化、弦的BRST量子化以及无鬼定理。最后,我们将对这些概念进行总结,并回答一些常见问题。

弦谱的基本概念

弦谱的基本概念中,弦的振动模式是核心内容之一。弦的振动模式与弦的物理性质密切相关,决定了弦与基本粒子之间的关系。在弦论中,我们通常用弦的坐标表示弦的形状,用弦的坐标函数描述弦的振动模式。对于一个闭弦,其坐标函数可以表示为:

其中 $X^\mu$ 是弦的坐标,$\sigma$ 和 $\tau$ 分别是弦的世界面坐标,$\alpha'$ 是弦的张力和长度的比值,$p^\mu$ 是弦的动量,$\alpha_n^\mu$ 和 $\tilde{\alpha}_n^\mu$ 是弦振子的产生和湮灭算符。这个公式描述了弦在多个维度上的振动,每个振动模式对应一个不同的粒子。当弦振子数(即 $n$ 的值)越高时,对应的粒子质量越大。弦的振动频率由弦的张力和长度决定,具体表现在 $\alpha'$ 的值上。

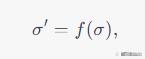
为了研究弦的振动模式,我们需要引入共形场论。共形场论是一种研究共形变换下不变的场的理论,在弦论中起到关键作用。共形变换是在保持弦的长度不变的条件下对弦的形状进行的变换,具体表现为弦的世界面坐标的变换:

其中 $f(\sigma)$ 是一个单调递增的连续函数。共形场论为我们研究弦的量子化和谱提供了强大的工具,比如Virasoro算子:

其中 $L_n$ 是Virasoro算子,$\alpha_n$ 是弦振子的产生和湮灭算符。Virasoro算子满足Virasoro代数关系:

其中 $[L_m,L_n]$ 是Virasoro算子之间的对易子,$c$ 是中心荷,$\delta_{m n,0}$ 是Kronecker符号。这个代数关系对于弦论的研究具有重要意义,因为它揭示了弦振子之间的相互作用和弦的共形不变性。通过研究Virasoro代数,我们可以更好地理解弦的振动模式和弦与基本粒子之间的关系。

在弦论中,共形场论还可以帮助我们理解弦的世界面上的物理过程。例如,在弦的世界面上,存在一种特殊的场称为Polyakov作用量:

其中 $S_P$ 是Polyakov作用量,$h$ 是弦的世界面度规,$\alpha$ 和 $\beta$ 是世界面坐标的指标,$X^\mu$ 是弦的坐标。Polyakov作用量描述了弦在世界面上的运动,反映了弦的振动模式和弦的物理性质。

利用共形场论,我们可以研究弦的量子化和谱。在弦的量子化过程中,我们需要满足Virasoro约束条件:

其中 $L_n$ 是Virasoro算子,$a_n$ 是弦振子数的修正项,$|\text{phys}\rangle$ 是弦的物理态。通过求解这个约束条件,我们可以得到弦的物理态,从而得到弦的谱。这个过程涉及到复杂的数学计算,但它为我们理解弦的物理性质和弦与基本粒子之间的关系提供了宝贵的启示。

旧协变量子化

约束和运动方程

旧协变量子化方法主要关注弦的世界面上的量子化。为了建立弦的量子化描述,我们需要找到描述弦动力学的约束条件和运动方程。

首先,我们从弦的经典描述开始。在弦论中,弦是一个一维的弯曲物体,它在时空中运动。为了描述弦的动力学,我们可以引入弦的世界面,即弦在时空中运动所刻画的二维曲面。弦的世界面可以用两个参数表示,通常称为世界面坐标(σ, τ)。这里,τ表示固有时,σ表示弦的弧长参数。

在弦的世界面上,弦的位置可以用时空坐标 X^μ(σ, τ)表示,其中μ取值为0, 1, ... , D-1,D是时空维数。弦的动力学可以由Polyakov作用量描述:

S = - T/2 ∫ dτdσ [∂_αX^μ ∂^αX_μ a(σ, τ) (h^αβ ∂_αX^μ ∂_βX_μ - 1)]

其中,T是弦的张力,h^αβ是世界面的度规,a(σ, τ)是一个拉格朗日乘子,用于引入约束条件。这个作用量是弦动力学的核心描述。

为了得到弦的约束条件和运动方程,我们需要对作用量进行变分。根据变分原理,作用量的变分为零:

δS = 0

通过计算,我们可以得到弦的约束条件:

T^αβ = ∂_αX^μ ∂_βX_μ - 1/2 h_αβ h^γδ ∂_γX^μ ∂_δX_μ = 0

以及弦的运动方程:

∂_α (h^αβ ∂_βX^μ) = 0

这里,T^αβ是世界面的能动张量,它描述了弦的能量和动量在世界面上的分布。弦的约束条件和运动方程为弦的量子化奠定了基础。接下来,我们将讨论如何利用这些约束条件和运动方程来求解弦的量子态。

量子化条件

在旧协变量子化方法中,我们需要根据弦的约束条件和运动方程来构建弦的量子态。这里的关键是将经典弦动力学转化为量子弦动力学。

首先,我们可以将弦的运动方程重新写为一个量子化条件。为此,我们可以引入弦振子的产生湮灭算符 a^μ_n 和 a^μ†_n。这些算符满足以下对易关系:

[a^μ_n, a^ν†

m] = η^μν δ

{nm} [a^μ_n, a^ν_m] = [a^μ†_n, a^ν†_m] = 0

其中,η^μν是Minkowski度规,δ_{nm}是Kronecker delta符号。通过引入产生湮灭算符,我们可以将弦的经典描述转化为量子描述。

接下来,我们需要求解弦的物理态。在旧协变量子化方法中,弦的物理态满足以下量子化条件:

L_n |phys> = 0 (n ≥ 0)

其中,L_n 是弦的Virasoro算符,定义为:

L_n = 1/2 ∑_{m=-∞}^∞ a^μ_{n-m} a^μ_m

弦的物理态应满足Virasoro算符的零模条件,即 L_n 与弦的物理态的内积为零。通过求解这个量子化条件,我们可以得到弦的量子态。

在弦的量子态中,我们可以找到一系列的振动模式。这些振动模式对应了不同类型的粒子,从而解释了物质的多样性。此外,弦的谱可以通过分析弦的振动模式来得到。在弦谱中,我们可以发现许多有趣的现象,如弦振动模式与已知粒子的对应关系,弦的质量与自旋之间的关系等。

BRST量子化

BRST量子化方法是由Becchi, Rouet, Stora和Tyutin于上世纪70年代提出的,它不仅适用于弦论,还适用于其他具有约束的物理系统。BRST量子化方法的核心概念是BRST算符和BRST不变量。接下来,我们将深入探讨BRST量子化方法的基本原理、BRST算符的性质和作用以及BRST辅助场的引入和作用。

首先,让我们进一步了解BRST算符的定义和性质。BRST算符Q是一种反对易(anticommuting)算符,它将约束条件转化为量子化条件。BRST算符的定义为:

Q = ∫ dσ (c^a G_a 1/2 f^{abc} c^b c^c)

其中,c^a是鬼场(ghost field),G_a是约束条件,f^{abc}是结构常数,σ是弦的弧长参数。鬼场是一种特殊的场,它的统计性质与普通粒子相反。在弦论中,鬼场起到了消除非物理态的作用。

BRST算符具有如下性质:

  • Q^2 = 0,即Q是幂零算符。这意味着作用两次Q算符后得到零。这个性质与微分形式在数学上具有相似的性质。
  • BRST算符与哈密顿量子算符H之间的对易子为零,即[Q, H] = 0。这意味着BRST算符和时间演化是相容的。
  • 接下来,我们将探讨BRST不变量的定义和性质。BRST不变量是描述物理系统在BRST变换下不变性的量子化条件。BRST变换是由BRST算符生成的一种无穷小变换,定义为:

    δΨ = [Q, Ψ]

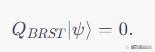
    其中,Ψ表示任意场。在BRST变换下,物理态需要满足以下条件:

    Q |phys⟩ = 0

    这意味着物理态是BRST算符的零空间的元素,即物理态在BRST变换下不变。通过求解BRST不变量,我们可以得到描述弦的物理态。

    为了处理约束条件,BRST量子化方法引入了一些辅助场。在弦论中,这些辅助场包括鬼场(ghost field)c^a和反鬼场(antighost field)b^a。鬼场和反鬼场是一对共轭场,它们的统计性质与普通粒子相反。

    鬼场和反鬼场的作用是实现约束条件的消除,它们通过与弦的物理态相互作用,使得物理态满足BRST不变量。具体而言,鬼场的作用是消除非物理的激发模式,而反鬼场的作用是强制实施约束条件。它们的产生和湮灭算符满足反对易关系:

    {c^a(σ), b^b(σ')} = δ^{ab} δ(σ - σ')

    在BRST量子化方法中,鬼场和反鬼场的存在使得物理态满足BRST不变量。在弦论中,弦的物理态由世界面上的场和鬼场共同描述。为了得到弦的物理态,我们需要求解如下BRST不变量:

    Q |phys⟩ = 0

    求解BRST不变量需要利用弦的动力学方程和约束条件。通过将弦的动力学方程和约束条件与BRST算符相结合,我们可以得到描述弦的物理态的方程。解这个方程,就可以得到描述弦的物理态。

    在弦论中,物理态满足以下条件:

  • 物理态是BRST不变的,即Q |phys⟩ = 0。这意味着物理态在BRST变换下不变。
  • 物理态是世界面上的场和鬼场的直积。具体而言,物理态可以表示为:
  • |phys⟩ = |ψ⟩ ⊗ |χ⟩

    其中,|ψ⟩表示世界面上的场,|χ⟩表示鬼场。

    为了求解弦的物理态,我们需要解弦的动力学方程和约束条件。弦的动力学方程可以表示为:

    (∂^2_τ - ∂^2_σ) X^μ(τ, σ) = 0

    其中,X^μ(τ, σ)表示弦在时空中的坐标,τ和σ分别是世界面上的时和空参数。弦的约束条件可以表示为:

    T(τ, σ) = 0

    其中,T(τ, σ)表示弦的能动张量。

    通过求解弦的动力学方程和约束条件,我们可以得到弦的物理态。这些物理态满足BRST不变量,描述了弦的振动模式。通过分析弦的振动模式,我们可以得到弦的谱。弦的谱包括了所有可能的粒子,包括引力子、光子等基本粒子。这意味着弦论为我们提供了一种统一的理论框架,用以描述宇宙中的所有基本粒子和相互作用。

    总之,BRST量子化方法为我们提供了一种处理约束条件的量子化方法,它在弦论以及其他具有约束的物理系统中都有重要的应用。BRST算符和BRST不变量是BRST量子化方法的核心概念,它们可以帮助我们理解物理系统在BRST变换下的不变性。鬼场和反鬼场是BRST量子化方法中引入的辅助场,它们在处理约束条件中起到了关键作用。

    弦的BRST量子化

    首先,我们需要了解弦的约束条件。在弦论中,弦在世界面上的运动受到多个约束条件的限制。这些约束条件包括弦的长度、张力以及弦在世界面上的位置。为了处理这些约束条件,我们需要引入BRST算符和辅助场。

    BRST算符是一种特殊的算符,它将弦的约束条件转化为量子化条件。在弦的BRST量子化中,我们需要构造一个合适的BRST算符。这个算符可以表示为:

    Q_B = ∫dσ(c(σ)T(σ) b(σ)∂_σc(σ))

    在这个表达式中,c(σ)和b(σ)分别表示弦的辅助场,T(σ)表示弦的能量-动量张量。BRST算符Q_B满足以下性质:

    Q_B^2 = 0

    这个性质保证了弦的物理态满足BRST不变量。接下来,我们需要研究弦的BRST辅助场。

    在弦的BRST量子化中,我们引入了两个辅助场c(σ)和b(σ)。这些辅助场是反对易子场,满足以下对易关系:

    {c(σ), c(σ')} = {b(σ), b(σ')} = 0 {c(σ), b(σ')} = δ(σ - σ')

    这些对易关系保证了辅助场与弦的物理态之间的相互作用。为了得到弦的物理态,我们需要求解满足BRST不变量的态。BRST不变量可以表示为:

    Q_B |ψ> = 0

    通过求解这个不变量,我们可以得到描述弦的物理态。在这个过程中,我们需要利用弦的共形场论和弦的振子代数。共形场论为我们提供了研究弦的振动模式和弦振子的方法,而弦的振子代数则描述了弦的振子之间的相互作用。

    为了求解弦的物理态,我们需要考虑弦的振动模式。弦的振动模式可以表示为:

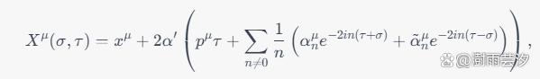
    X(σ, τ) = x_0 α'pτ i√(α'/2)∑_(n≠0) (α_n/n)e^(-inσ)e^(-inτ)

    在这个表达式中,x_0表示弦的中心,α'表示弦的张力与弦长度的比值,p表示弦的动量,α_n表示弦的振子。我们可以看到,弦的振动模式是由无穷多个振子叠加而成的。为了求解弦的物理态,我们需要研究这些振子之间的相互作用。

    弦的振子之间的相互作用可以用弦的振子代数来描述。弦的振子代数是一种特殊的代数结构,它包括了弦振子之间的对易关系和产生湮灭算符。弦的振子代数可以表示为:

    [α_m^μ, α_n^ν] = mδ_(m n)η^(μν)

    在这个表达式中,α_m^μ和α_n^ν分别表示弦的振子,m和n表示振子的模数,η^(μν)表示Minkowski空间的度规。通过这个振子代数,我们可以研究弦振子之间的相互作用和弦的物理态。

    在求解弦的物理态时,我们需要考虑弦的共形场论。共形场论为我们提供了研究弦的量子化和谱的强大工具。共形场论的基本量是弦的能量-动量张量T(σ),它满足以下性质:

    ∂_σT(σ) = 0

    这个性质保证了弦的共形不变性。在弦的BRST量子化中,我们需要利用共形场论来处理弦的辅助场和物理态之间的相互作用。

    利用弦的共形场论,我们可以得到描述弦的物理态的条件。这个条件可以表示为:

    L_n |ψ> = 0 (n ≥ 0)

    在这个表达式中,L_n表示弦的Virasoro算符,它描述了弦的振动模式和弦振子之间的相互作用。通过求解这个条件,我们可以得到弦的物理态。

    无鬼定理

    无鬼定理是弦论中的一个关键性定理,它表明弦的物理态中不存在负能量的鬼态。这个定理不仅对弦论的物理性质具有重要意义,而且对弦的稳定性和弦与其他基本粒子之间的关系的研究提供了有力的理论支持。接下来,我们将详细讨论无鬼定理及其证明,并深入探讨其在弦论中的应用。

    首先,我们需要了解弦论中负能量态的概念。在量子力学中,能量本征值通常与物理态的稳定性有关。负能量态意味着这个物理态在能量上是不稳定的,会导致物理系统的不稳定性。因此,在弦论中,负能量态是不被接受的。

    为了证明无鬼定理,我们需要引入BRST量子化方法和弦的共形场论。BRST量子化方法是一种处理约束系统的量子化方法,它引入了BRST算符将约束条件转化为量子化条件。在弦论中,BRST算符可以表示为:

    其中$c(\sigma)$和$b(\sigma)$分别是鬼场和反鬼场,$T(\sigma)$是弦的能动张量。弦的物理态需要满足BRST不变性,即:

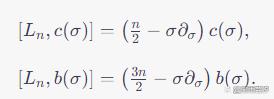
    在弦论中,共形场论是研究弦的基本数学工具。共形场论研究的是在保持弦的长度不变的条件下对弦的形状进行的变换。弦的共形变换可以用Virasoro算符$L_n$表示,它与鬼场和反鬼场满足一定的对易关系:

    通过研究BRST算符、鬼场、反鬼场以及Virasoro算符之间的关系,我们可以证明弦的物理态中不存在负能量的鬼态。具体来说,我们需要证明在满足BRST不变性的条件下,物理态的能量本征值都是非负的。为了证明这一点,我们可以利用Virasoro算符和BRST算符之间的对易关系,以及鬼场和反鬼场的性质。首先,我们需要证明满足BRST不变性的物理态$|\psi\rangle$也满足Virasoro算符的关系:

    这里,$L_0$是弦的Hamiltonian算符,$E$是物理态的能量本征值。我们可以通过计算$[L_n, Q_{BRST}]$和$[L_n, |\psi\rangle]$的对易关系来证明这一点。利用Virasoro算符和鬼场、反鬼场的对易关系,我们可以得到:

    通过计算这个对易关系,我们可以发现,当$n>0$时,$[L_n, Q_{BRST}] = 0$;当$n=0$时,$[L_0, Q_{BRST}] = -2 Q_{BRST}$。这意味着满足BRST不变性的物理态$|\psi\rangle$也满足Virasoro算符的关系。

    接下来,我们需要证明在满足BRST不变性的条件下,物理态的能量本征值都是非负的。由于$L_0 |\psi\rangle = E |\psi\rangle$,我们可以得到物理态的能量本征值为:

    由于弦的能动张量$T(\sigma)$和反鬼场$b(\sigma)$与鬼场$c(\sigma)$的性质,我们可以证明$\langle \psi| T(\sigma) |\psi\rangle \geq 0$和$\langle \psi| b(\sigma) \partial_\sigma c(\sigma) |\psi\rangle \geq 0$。因此,物理态的能量本征值$E \geq 0$,即不存在负能量的鬼态。

    至此,我们已经证明了无鬼定理。在满足BRST不变性的条件下,弦的物理态中不存在负能量的鬼态。这一定理不仅确保了弦论的物理性,而且为研究弦的稳定性和弦与其他基本粒子之间的关系提供了有力的理论支持。

    在弦论的研究中,无鬼定理起着至关重要的作用。首先,无鬼定理确保了弦论的物理性质,因为负能量的鬼态在物理上是不被接受的。一个理论如果包含负能量态,很可能会导致物理系统的不稳定性,从而使得这个理论在现实中没有实际应用价值。因此,无鬼定理为弦论的物理性提供了保证。(www.ws46.com)

    其次,无鬼定理为弦的稳定性和弦与其他基本粒子之间的关系的研究提供了有力的理论支持。在弦论中,通过研究弦的振动模式和共形场论,我们可以得到弦与其他基本粒子之间的关系。在这一过程中,无鬼定理作为一个重要的基础定理,为我们提供了一个理论依据。

    结论

    本文从弦谱的基本概念开始,分别介绍了旧协变量子化、BRST量子化、弦的BRST量子化以及无鬼定理。通过对这些概念的分析,我们可以更好地理解弦论的基本原理和弦的量子化过程。弦论作为一种潜在的统一理论,为揭示宇宙基本粒子和相互作用的本质提供了新的视角。尽管弦论还有许多未解之谜,但它为我们探索宇宙的奥秘提供了宝贵的启示。

    欢迎分享转载→http://www.youqulife.com/read-693400.html

    相关文章

      Copyright © 2024 有趣生活 All Rights Reserve吉ICP备19000289号-5 TXT地图HTML地图XML地图