有趣生活

当前位置:首页>生活>污泥好氧消化的原理

污泥好氧消化的原理

发布时间:2025-10-28阅读(1)

污泥好氧消化的基本原理是使微生物处于内源呼吸阶段,以自身生物体作为代谢底物来获得能量和进行再合成,实际上是活性污泥法的继续。好氧氧化分解过程是一个放热反应,因此在工艺运行中会产生并释放出热量。由于代谢过程存在物质和能量的散失,细胞物质被分解的量远大于合成的量,通过强化这一过程达到污泥减量化的目的。在理论上,尽管厌氧消化反应已经终止,仅有75%~80%的细胞组织发生氧化,剩余的20%~25%的细胞组织包括不可生物降解有机物和惰性物质。经过消化反应以后,剩余产物的能量水平极低,因此在生物学上相对稳定,适用于污泥各种最终处置途径。

污泥好氧消化

污泥的好氧消化过程包括如下2个步骤:a.可生物降解有机物氧化合成为细胞物质;b.细胞物质的进一步氧化。其过程可用式(1)和式(2)表示为:

生物降解有机物氧化合成为细胞物质

细胞物质的进一步氧化反应

随着有机物氧化的继续,底物供应受到限制,微生物进入衰亡期,好氧速率也随之下降。当供应的底物耗尽时,将迫使微生物依靠内部贮存的能源,于是微生物进入内源代谢和内源呼吸阶段。如式(1)所示,液相有机物通过氧化生成细胞物质。如式(2)所示,是一个典型的内源呼吸过程,细胞物质进一步消化氧化成稳定化生物固体,是好氧消化系统的主要反应。

污泥好氧消化

好氧消化过程需要将反应维持在内源呼吸阶段,因此此工艺适用于剩余污泥的稳定。由于初沉池污泥中含有少量的细胞物质,因此混合污泥的处理将会包括反应(1)的转化过程,初沉池污泥中的颗粒物质和有机物是活性污泥中微生物的食物来源,导致曝气池中具有较高的底物与微生物量,因此需要较长的停留时间以进行细胞代谢和生长反应,之后再进入内源呼吸阶段。

若以C5H7NO2代表微生物细胞物质,好氧消化过程的化学计量学可由式(3)和式(4)表示:

式(3)

式(4)

如式(3)所示,这种情形存在于高温好氧消化过程,硝化系统设计为抑制硝化的工艺形式,氮以氨态存在。如式(4)所示为硝化反应的消化工艺系统设计,其中氮以硝态氮的形式存在。

理论上讲,由于硝化反应而消耗的碱度可由反硝化补充约50%,若pH值下降明显,可以投加石灰或者通过间歇反硝化的方式来控制。

如式(4)所示,在好氧消化过程中,硝化反应会产生H ,若污泥的缓冲能力相对不足,pH值则会降低。根据式(3)和式(4),在理论上,在非硝化系统中,每1kg的微生物活细胞需要消耗1.5kg的氧气,而在硝化系统中,每1kg的微生物活细胞需要2kg的氧气,在实际运行中的需氧量还受如初沉池污泥的加入、操作温度、SRT等其他因素的影响。

污泥好氧消化

对二沉污泥来说,其好氧消化过程中底质与微生物之比相当低,并很少发生细胞合成。主要的反应是氧化作用和使细胞组分破坏的细胞溶解和自身氧化呼吸。微生物的细胞壁由多糖类物质组成,具有相当大的耐分解能力,使好氧消化法排出物中仍有挥发性悬浮固体存在,而这一残留挥发部分是很稳定的,对此后的污泥处理或土壤处置,不会产生影响。

一般情况下,常温消化系统(温度在20~30℃)在以空气作为氧源的条件下运行,其中决定消化系统设计的因素包括VSS设计去除率、操作温度、进泥的质和量、氧传质和混合要求、运行方式、池体积、停留时间等,甚至要对病原菌灭活以及蚊蝇孳生进行考虑。

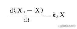
污泥好氧消化过程,微生物处于内源呼吸阶段,反应速率与生物量遵循一级反应模式。目前,最常用的模型是Adams等建议采用的模型。该模型假定如式(5)所示:

式(5)

式中,X0为进水中VSS浓度,kg/m3;X为在时间t时的VSS的浓度,kg/m3;kd为反应常数。

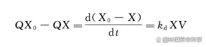
由于好氧消化池采用连续搅拌,污泥池内完全混合,因此池内挥发性固体的去除量(稳态)是在单位时间内,进入池内的挥发性固体减去出池的挥发性固体的差值。即:

公式5

欢迎分享转载→http://www.youqulife.com/read-750466.html

相关文章

    Copyright © 2024 有趣生活 All Rights Reserve吉ICP备19000289号-5 TXT地图HTML地图XML地图