有趣生活

当前位置:首页>生活>污泥离心脱水技术——离心脱水原理

污泥离心脱水技术——离心脱水原理

发布时间:2025-10-28阅读(1)

离心脱水是利用离心力代替重力和压力进行污泥脱水的操作,适用于黏度小、沉降速度较大、浓度较高的悬浊液和泥浆的分离和洗涤。其基本原理是以过滤介质两面的压力差作为推动力,固体颗粒被截留在过滤介质上,形成滤饼,而污泥中的水分被通过过滤介质,形成滤液。主要有4种方法可以形成作为推动力的压力差:

a.依靠污泥本身厚度的静压力,如干化床脱水;

b.在过滤个质的一面造成负压,如真空吸滤脱水;

c.加压污泥把水分压过介质,如压滤脱水;

d.造成离心力,如离心脱水。(www.ws46.Com)

污泥干化床脱水

污泥真空吸滤脱水机

污泥压滤脱水

污泥离心脱水

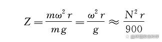
离心脱水离心分离操作的效果一般用分离因数来表示,即离心力与重力之比。其关系式表示如下:

分离因数计算公式

式中,Z为分离因数;m为物体质量,kg;w为旋转角速度,r/min或r/s;r为旋转半径,m;g为重力加速度,9.8m/s2;N为离心机转速,r/min或r/s。

当Z为1000~1500时,为低速离心机;Z为1500~3000时,为中速离心机;Z超过3000时,为高速离心机。

离心脱水机为全封闭设计,运行中没有恶臭气味,可以改善操作人员的工作环境。

欢迎分享转载→http://www.youqulife.com/read-750743.html

相关文章

    Copyright © 2024 有趣生活 All Rights Reserve吉ICP备19000289号-5 TXT地图HTML地图XML地图