有趣生活

当前位置:首页>生活>污泥气浮浓缩技术——气浮浓缩设备的设计要点和参数

污泥气浮浓缩技术——气浮浓缩设备的设计要点和参数

发布时间:2025-10-28阅读(1)

气浮浓缩池的设计内容主要包括溶气比、回流比、气浮浓缩池表面积、表面水力负荷。此外,还有深度、空气量、溶气罐压力等。

气浮浓缩池

(1)溶气比的确定

气浮时有效空气质量与污泥中固体物质量之比称为溶气比或气固比,用Aa/S表示,

计算公式如下:

无回流时,用全部污泥加压:

全部污泥加压

有回流时,用回流水加压:

(www.ws46.Com)

回流水加压

气浮效果随溶气比的增加而提高,一般以0.03~0.1为宜(质量比)。

上述两式的等式右侧分子是空气的质量浓度,mg/L;分母是固体物质量浓度,mg/L;式中的“-1”是由于气浮是在大气压下操作。

空气溶解度及密度参考值

气浮浓缩池

(2)回流比R

溶气比确定以后,根据上述方程式可计算出R值。无回流时,不必计算R。

气浮浓缩池

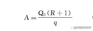
(3)气浮浓缩池的表面积

气浮浓缩池的表面积A可根据下式计算:

无回流时:

有回流时

式中,A为气浮浓缩池的表面积,m2; q为气浮浓缩池表面水力负荷,参见下表,m3/(m2.d)或m3/(m2.h);Q0为入流污泥量,m3/d或m3/h。

表面积A求出后,需用固体负荷校核。如不能满足,则应采用固体负荷求得的面积。

气浮浓缩池

(4)气浮浓缩池表面水力负荷及表面固体负荷

气浮浓缩池表面水力负荷及表面固体负荷可参考下表。

气浮浓缩池表面水力负荷及表面固体负荷

欢迎分享转载→http://www.youqulife.com/read-750786.html

相关文章

    Copyright © 2024 有趣生活 All Rights Reserve吉ICP备19000289号-5 TXT地图HTML地图XML地图