有趣生活

当前位置:首页>生活>污泥流化床干燥机的结构设计

污泥流化床干燥机的结构设计

发布时间:2025-10-28阅读(1)

在结构设计中,主要讨论分布板、隔板和溢流堰的设计。

(1)分布板

在流化床中,分布板的作用除了支撑固体颗粒、防止漏料外,还有分散气流使气体得到均匀分布的作用。但一般分布板对气体分布的影响通常只局限在分布板上方不超过0.5m的区域内,床层高度超过0.5m时,必须采取其他措施,改善流化质量。

设计良好的分布板,应对通过它的气流有足够大的阻力,从而保证气流均匀分布于整个床层截面上,也只有当分布板的阻力足够大时,才能克服聚式流化的不稳定性,抑制床层中出现沟流等不正常现象。试验证明,当采用某种致密的多孔介质或低开孔率的分布板时,可使气固接触非常良好,但同时气体通过这种分布板的阻力较大,会大大增加鼓风机的能耗,因此通过分布板的压力降应有个适宜值。据研究,适宜的分布板压力降应等于或大于床层压力降的10%,并且其绝对值应不低于3.5kPa 。床层压力降可取为单位截面上的床层重力。

工业生产用的气体分布板形式很多,常见的有直流式、侧流式和填充式等。直流式分布板如图1所示。单层多孔板结构简单,便于设计和制造,但气流方向与床层垂直,易使床层形成沟流;小孔易于堵塞,停车时易漏料。多层孔板能避免漏料,但结构稍微复杂。凹形多孔分布板能承受固体颗粒的重荷和热应力,还有助于抑制鼓泡和沟流。侧流式分布板如图2所示,在分布板的孔上装有锥形风帽(锥帽),气流从锥帽底部的侧缝或锥帽四周的侧孔流出。目前这种带锥帽的分布板应用最广,效果也最好,其中侧缝式锥帽采用最多。填充式分布板如图3所示,它是在直孔筛板或栅板和金属丝网层间铺上卵石-石英砂-卵石。这种分布板结构简单,能够达到均匀布气的要求。

图1 直流式分布板

图2 侧流式分布板

图3 填充式分布板

(2)隔板(分隔板)

为了改善气固接触情况和使物料在床层内停留时间分布均匀,对于卧式多室流化床干燥机,常常采用分隔板沿长度方向将整个干燥室分隔成 4~8 室(隔板数为 3~7块)。隔板与分布板之间的距离为30~60mm 。隔板为上下移动式设计,以方便其与分布板之间距离的调节。

(3)溢流堰

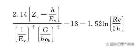
为了保持流化床层内物料厚度的均匀性,物料出口通常采用溢流方式。溢流堰的高度可取50~200mm,其值可用下式计算,即:

溢流堰的高度计算公式

式中,h为溢流堰高度,m;ρb为颗粒的堆积(表观)密度,kg/m3;Re为对应于颗粒带出速度的雷诺数;b为溢流堰的宽度,m;G为绝干物料流量,kg/s;Ev为床层膨胀率,无量纲。

欢迎分享转载→http://www.youqulife.com/read-752163.html

相关文章

    Copyright © 2024 有趣生活 All Rights Reserve吉ICP备19000289号-5 TXT地图HTML地图XML地图