有趣生活

当前位置:首页>职场> 企业最佳现金持有量的确定方式

企业最佳现金持有量的确定方式

发布时间:2025-10-26阅读( 16)

企业为了满足日常经营的交易性需求,以及预防意外发生需要的支付,需要留存一定现金,那么企业具体需要留存多少现金呢,如何计算企业最佳现金持有量呢?

这里的现金是广义现金的意思,可以理解为货币资金,包括库存现金,银行存款,以及其他货币资金。

成本模式

企业持有现金的成本包括管理成本、机会成本以及短缺成本,管理成本一般不会随着现金持有量的变化而变化,比如购买保险柜的成本;机会成本是指企业保留现金而丧失的再投资收益,比如企业持有库存现金,那么这部分现金就丧失了购买理财产品的投资收益;短缺成本实质缺乏必要的现金,不能应付业务开支的所需使得企业蒙受损失或为此付出的转换成本等代价,比如企业没有足够的现金支付材料采购价款,将手中有价证券出售而需要付出的手续费等交易费用。

短缺成本与现金持有量反向变动,机会成本与现金持有量正向变动,成本模式下,使得短缺成本和机会成本之和最小时的现金持有量,即短缺成本和机会成本相等时的现金持有量为最佳现金持有量。

存货模式

存货模式下的,即将现金理解为存货,现金如同存货会被消耗,存货模式考虑交易成本和机会成本,交易成本即转换成本,可以理解为将有价证券等资产转换为现金需要发生的交易成本。存货模式下,使得交易成本和机会成本之和最小的每次现金转换量为最佳现金持有量。

总成本=机会成本 交易成本=每次现金转换量÷2×机会成本率 全年总的现金需求量÷每次现金转换量×每次交易费用

每次现金转换量即为要求的最佳现金持有量,使得机会成本=交易成本,即:

每次现金转换量÷2×机会成本率=全年总的现金需求量÷每次现金转换量×每次交易费用

在算机会成本时,为什么需要在现金持有量的基础上除以2,因为存货模式下,假设现金使用完,就进行转换,即不够就补充,每次补充量即每次转换量,也是企业的最高现金持有量,随着现金的使用,一个周期内由最高变为0,站在全年的角度,企业平均现金持有量为每次现金转换量的一半。

利用存货模式计算现金持有量,需要先预测全年总的现金需求量。

随机模式

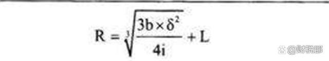
随机模式是企业比较常见的现金管理模式,随机模式有一个现金持有量上限,一个现金持有量下限,以及一个回归线。现金持有量的下限是管理当局根据风险偏好,生产经营需要确定的,回归线以及上限根据下限计算,回归线计算公式如下:(www.ws46.Com)

其中,*表示现金余额的标准差,b表示交易成本,i表示每日的机会成本率,L是现金持有量下限。

现金持有量上限与回归线之间的差额是回归线和现金持有量下限的2倍。

现金持有量上限H=3R-2L

当企业的现金持有量在上限和下限之间波动时,企业无需任何操作,当企业现金持有量高于或等于上限时,用现金购入有价证券,使得现金持有量回归到回归线数值;当手中现金持有量低于或等于下限时,则出售手中有价证券使得现金持有量达到回归线数值。上限和下限可以理解为两条高压线,触碰了就会反弹到回归线,在两者之间,可以自由波动。

TAGS标签:   企业   最佳   现金   持有   确定   企业最佳现金持有量的

Copyright © 2024 有趣生活 All Rights Reserve吉ICP备19000289号-5 TXT地图HTML地图XML地图